Má exaktní věda dokonalé pravdy a dogmata?
Luboš Motl, ani nejlepší český strunař, rozuměj teoretický fyzik zabývající se teorií super-strun, příjemně překvapil, neboť napsal kvalitní filosofický blog "Einsteinův průlom byl mnohem hlubší, více filozofický, než se předpokládalo". Nevím sice, kdo mohl chybně předpokládal, že Einsteinův průlom byl málo filosofický, když podstata tohoto průlomy byl filosofická třeba už v tom, že relativitu času Einstein poprvé bral jako reálnou, nikoliv jako nereálnou a technicky-pomocnou, ale s důrazem na filosofii zde nejde než souhlasit. Ty nejobecnější fyzikální problémy už dávno potřebují (a vždy potřebovaly) obecné uvažování mimo fyziku a je příjemné vidět, že někteří fyzici jsou schopni si to uvědomit. To, na druhé straně, bohužel, není mezi fyziky až tak časté. Tím spíš je nutné ocenit Lubošův přínos.
Ve zmíněném blogu není sice nic filosoficky závratně nového, alespoň pro ty, kdo jsou ve filosofii trochu zběhlí, přesto nejde neocenit o solidní a ucelené filosofické uvažování. Blog naznačuje, že je určen širšímu publiku a tomu je opravdu vhodné opakovat stále, že některá fakta a teorie prostě platí a žádné mudrování na tom nic nezmění. Možná by nebylo od věci opakovat i nejednomu filosofovi, že fyzika a matematika dávají velmi pevné pravdy a jistoty a některé rozbředlé a zmatené přehnaně relativizující výlevy, které samy sebe považují za filosofii, s tím nic nezmohou. Fyzika není kulturní konstrukt, neboť nezáleží na lidském názoru či lidské shodě, jestli se v autě při nárazu do zdi rychlostí 200 km/h zabijeme nebo ne.
Jedna konkrétní věc je v blogu přece jen asi nová a to připomínka toho, že Einstein explicitně formuloval pojetí současnosti, která se odlišovala od newtonovské současnosti, přičemž ale toto předchozí Newtonovo pojetí nebylo nikdy explicitně formulováno, newtonovské pojetí současnosti bylo skryté v intuici.
Je to hezká ilustrace toho, že každá teorie, definice či názor nebo sdělení platí jen za určitých podmínek, z nichž ty noeticky nejbližší podmínky (ty nejprozkoumanější) jsou známé, ale spousta podmínek jejich platnosti známá není, neboť člověk nad nimi ještě ani nezačal uvažovat. V rámci své aspirantury jsem v jednom textu formuloval tuto myšlenku obecně a o něco šířeji (někdy v roce 1984) . Rozebíralo se tam, že oněch neznámých podmínek platnosti každého tvrzení je (metaforicky řečeno) potenciálně nekonečně mnoho. A že jsou vlastně 3 vrstvy těchto podmínek platnosti: 1. vědomě formulované 2. nevědomě používané 3. nepoužívané ani implicitně, které teprve poznáme, a to nejdříve intuicí a posléze explicitně. Tato představa ladí s Popperovou falsifikací, která formuluje každé, třebaže i velmi jisté poznání, jako poznání přece jen relativní, zjednodušené, platné pouze za určitých podmínek, které budou obecnějším poznáním překonány. Dokonce takováto relativnost každého poznání, tedy fakt, že každé poznání bude v budoucnu nutně částečně negováno, je podmínkou toho, aby toto poznání bylo vůbec vědecké.
Žádné tvrzení, princip nebo teorie není dokonale pravdivá
Nelze než podporovat obecnou snahu Lubošova blogu po upevnění vědy jako zdroje jistot, nicméně v konkrétní argumentaci je nutno tomuto blogu oponovat. Dočteme se tam totiž, že "Einstein nalezl nové principy (princip relativity, konstantnost rychlosti světla a Lorentzovu symetrii), které zatím všechny testy potvrzují netriviálně a neuvěřitelně přesně.... a to je dobrý důkaz, že tyto principy jsou dokonale pravdivé."
To je zajímavé tvrzení, když přitom sám blog ilustruje, že tyto principy nejsou "dokonale pravdivé", neboť když v něm čteme, že testy jsou neuvěřitelně přesné, neznamená to, že jsou dokonale = absolutně přesné, neboť každé měření má nenulovou nepřesnost. Třeba i v klasické mechanice je přesnost každého měření nutně omezena, což je dáno fyzikálními vlastnostmi měřícího a měřeného systému a dalo by se pro každé měření v klasické za daných technických podmínek formulovat svého něco jako "princip neurčitosti" svého druhu.
Za druhé blog uvádí, že je nutné "se zbavit gravitace" k dokonalé platnosti těchto principů, soustava musí volně padat či je třeba požadovat lokální platnost. Jsou zde tedy uváděny podmínky platnosti, bez nichž principy speciální relativity neplatí dokonale. Dokonce je jasné, že speciálně relativistické principy nemohou platit nikdy absolutně přesně, protože gravitačního pole se nelze nikdy zbavit, když třeba i každá částice gravitačně působí. Onu lokálnost by také bylo nutné omezit na jediný bod s nulovými rozměry, aby ony principy platily absolutně přesně, jenže v takovém bodě pak nelze provést fyzikální měření, takže opět úvaha o "dokonalé pravdivosti" vypadla z fyziky, je mimo realitu.
Nikde ve vesmíru se nevyskytuje absolutně plochý prostoročas, to je také jen idealizace mimo realitu. Nebo se můžeme na věc pokusit podívat na Planckových škálách, kde kvantové vakuum "vře". I když si tento "var" představíme v podobě zklidněné v podání super-strun, stále to není ani omylem dokonale plochý einsteinovský prostoročas, kde by zmíněné principy dobře platily. To je vlastně v jiné podobě tentýž problém, který má každá teorie kvantové gravitace - hladký prostoročas přestává být v této hloubce hladký a obecná teorie relativity má problém. Nebo můžeme jít naopak do "celovesmírných" měřítek a zjistíme, že některé galaxie se od nás vzdalují nadsvětelnými rychlostmi, s čímž si speciální relativita opravdu neporadí. I principy teorie relativity tedy platí jen relativně, "absolutně" pak jen ve zjednodušení našich představ.
Je zajímavé, že i když Luboš vypočítává seznam důvodů, proč speciálně relativistické principy nemohou být nikdy absolutní, zavře následně oči a za absolutní, za dokonale pravdivé, je přesto prohlásí. Je to vítězství "ideologie", osvícenecké filosofie nad realitou, která je přímo před očima, vítězství emocí nad racionalitou, je to zapírání nosu mezi očima. Takováto "mechanická" filosofie je v rozporu se skutečností, neboť jeví-li se něco jako absolutně jisté a absolutně přesné, je to jen díky tomu, že je to naše zjednodušená představa, kde nepřesnosti a nejistoty nevidíme, proto, že je naše vnímání omezené. Albert Einstein to formuloval takto: "Pokud matematické zákony odkazují na skutečnost, nejsou jisté, a pokud jsou jisté, nevztahují se na skutečnost." Aneb, jak praví "klasik": Jsi-li si něčím (absolutně) jist, jsi špatně informován.
Podobným způsobem, jako jsme ukázali relativnost platnosti speciálně relativistických principů, by se dala ukázat relativnost každého modelu, každé teorie, každého axiom z naší konečné oblasti poznání. Proto toto naše tvrzení relativnosti všeho také není absolutní, neboť se netýká celého světa, ale jen oblasti, která metaforicky řečeno, činí jen 0% z celého světa, oblasti, kterou alespoň trochu známe, řekněme oblasti multivesmíru. A požadavek, že se za hranicemi např. multivesmíru mohou skrývat jevy popsatelného absolutními teoriemi (když přece není naše tvrzení o relativnosti absolutní), je požadavek mechanické logiky, která si dovede představit jen dvě možnosti: a) absolutně vše je relativní b) je něco absolutního. Jenže se tu nebere do úvahy proměnlivost našich základních pojmů v budoucnosti, při poznávání dalších, dnes neznámých oblastí, a je tu snaha extrapolovat mechanickou logiku na nekonečně mnoho budoucích případů, což je 100%ně jistě chybná úvaha. V každé teorii či sdělení existují (přinejmenším implicitně) absolutní předpoklady, ty ale nutně později ukáží je jen jako relativně absolutní, zdánlivě absolutní, ale absolutní úlohu začnou hrát nové hlubší předpoklady. Absolutnost se mění v relativnost (a někdy naopak).
S blogem lze bezpochyby souhlasit, že jsou tvrzení, která platí neuvěřitelně přesně a jistě, a že existují téměř dokonalé postuláty, axiomy nebo teorémy Matky přírody. Žádný z nich však není absolutně přesný a absolutně pravdivý. Všechna tvrzení jsou "absolutně" přesná a jistá jen za daných podmínek, tedy jsou relativně absolutní, což ale "sečteno" znamená jen a pouze, že jsou relativní a jako absolutní se nám mohou pouze jevit do doby, než odhalíme jejich relativnost a nepřesnost. Dobrou ilustrací zde mohou být Newtonovy axiomy absolutního prostoru a absolutního času, které platí téměř dokonale, ale pouze za podmínek pomalých rychlostí (a zcela plochého prostoročasu).
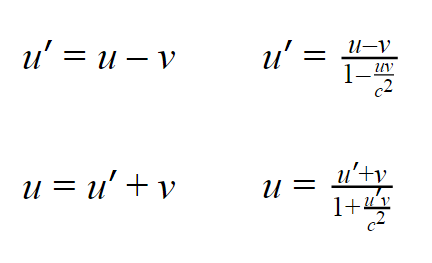
Zatím jsme zdůrazňovali zejména, že jakékoliv principy, teorie, představy, jsou jen jaksi poněkud nepřesné. Jenže ony všechny jsou také v principu špatně. Ono totiž prostor a čas není absolutní, jak to formuloval Newton, není to tak, že skládání malých rychlostí je newtonovské, jen kvantitativně trochu nepřesné. Skládání i malých rychlostí je vždy relativistické, takže v principu není nikdy pravda, že se dvě rychlostí sečtou či odečtou, ale vždy platí vzorec pro relativistické skládání rychlostí, který není pouhým součtem:
Stejně je v principu špatně i speciální teorie relativity, protože je jen zjednodušením reálně působící obecné teorie relativity, neboť nikde není gravitační pole absolutně rovnoměrné a neměnné. Ano, výsledky spočtené obecnou teorií relativity a speciální teorií relativity se v případě dosti homogenních gravitačních polí budou lišit jen nepatrně, dokonce rozdíl může být neměřitelný, pro nás nepozorovatelný, a to proto, že každé měření má konečnou přesnost. Přesto je speciální teorie relativity jen zjednodušením reálně složitější situace a rovnice obecné teorie relativity i v případě, kde se obecně relativistické efekty neprojevují, v principu kvalitativně lépe popisují realitu.
Ovšem i obecná teorie relativity je "v principu špatně", neboť je nutně zjednodušená, už proto, že nezahrnuje kvantové efekty. A nakonec i úspěšná teorie kvantové gravitace, bude též v principu špatně, protože bude jen zjednodušením ještě obecnější teorie, neboť každá teorie a představa je jen zjednodušením. Budoucí fyzikální teorie všeho, tak bude jen teorií např. všeho, co se nachází v našem vesmíru a nebude teorií opravdu všeho, co existuje, ke které bude mít stále potenciálně nekonečně daleko. Nová teorie kvantové gravitace tak bude jen teorií "všeho" a též bude v principu zjednodušením skutečnosti.
Stejně lze zpochybnit v Lubošově blogu diskutovaná "vědecké dogmata", která se podle blogu liší od náboženských dogmat tím, že ta vědecká prošla empirickými testy. Jinak se ale opět "vědecká dogmata" charakterizují jako "dokonale pravdivá". Obávám se, že tato dokonalost je opět jen v našich očích a v našich mozcích (a počítačích), které mají pouze konečné schopnosti a tím nemohou vytvořit nic více než idealizované modely, která odpovídají realitě velmi, velmi přesně, nikdy však absolutně přesně. Lze jen doufat, že když se zde dogmata uvádějí v závorkách, nemyslí se doslova dogmata. Obávám se trochu ale, že ano, a Lubošovo uvádění termínu "dogma" v uvozovkách chce pouze odlišit náboženská netestovaná dogmata a testovaných fyzikálních, ale tvrdá přesto na jejich absolutní platnosti. Pak ale nelze takový názor považovat za vědecký.
Alespoň částečná zpochybnitelnost jakéhokoliv principu, axiomu, teorie či věty, je totiž dokonce nutnou podmínkou vědeckosti takové formulace, což je vlastně Popperova falsifikace jako kritérium vědeckosti, jak jsme již zmínili. Princip falsifikace je uvědomí si toho, že věda vytváří jen a pouze idealizované modely, které musí být časem v překonány jako specifické případy platné jen za určitých podmínek, tedy že jsou tyto modely "v principu špatně". Ilustruje to Einsteinův povzdech, že nestačí, aby jeho teorie byla miliónkrát prokázána, protože postačuje jediné vyvrácení, aby bylo jasné, že není absolutně platná.
Silně sympatizuji s blogem v jeho zaujetí proti postmodernismu a jiným extrémně relativizujícím koncepcím a také ve zdůrazňování pevných pravd, ověřenými pozorováními a/nebo experimenty. Ale pevnost těchto pravd není jejich podmíněností, platností jen v určité oblasti, možností jejich falsifikace nijak zpochybněna, ale naopak upevněna. Z tuhé absolutní pravdy se tak totiž stává pevná, ale pružná pravda "algoritmická". Ostatně už z klasické mechaniky více, že pevné těleso je nejednou křehké a pružné je tak daleko odolnější. Když nepřipustíme podmíněnost, budeme muset tvrdit, že Newtonova mechanika je špatně, kdežto ona stále velmi dobře a přesně popisuje realitu, pokud jde o poměrně malé rychlosti a rovnoměrná či slabá gravitační pole.
Fikáček - Motl 2 : 0
Luboš si v závěru blogu vzpomněl i na mne a uvádí mě jako špatný příklad nekoncepčního, nefilosofického uvažování. Chtěl tím asi vyrovnat svou prohru v případě "zvukové teorie relativity", kterou sám uznal tím, že mi nabídl, abych o této "zvukové relativitě" napsal na jeho blog svůj guest-blog. Někdy před 25 let jsem totiž tvrdil, jak píše sám Luboš, že je možné i v nerelativistickém médiu najít některé relativistické efekty, což Luboš prohlásil za nesmysl a mě za blázna. Bohužel se časem ukázalo, že jsem měl pravdu, neb v laboratoři v Izraeli zrealizovali zvukovou "černou díru" nebo spíše "hluchou díru", která je v jistém smyslu analogií černé díry z obecné teorie relativity, ale ve zvukové podobě.
Už při této prohře si mohl Luboš všimnout, že jsem vycházel z obecného až filosofického přístupu, o kterém teď tvrdí, že ho postrádám... tedy kdyby si nechal tehdy věc vyložit. A že trefit se úvahou do něčeho, co se uskuteční za 25 let, zřejmě znamená, že ta (obecná) úvaha, byla správná. Není těžké totiž uvážit, že "éter" musí existovat, neboť světlo, musí být vlněním něčeho, i když se vlastnosti takového média nemusí zrovna projevovat v podobě 3D éterovém větru (pro účely tohoto blogu úvahu velmi zjednodušuju). A že Einsteinovo odmítnutí éteru při vzniku speciální relativity tak nebylo odmítnutím jeho existence, ale pouhým odmítnutím jeho mechanických vlastností. Stačí, aby byl tento "éter"/prostoročas čtyřrozměrný a choval se speciálním způsobem, a může existovat. Chcete-li se dovědět podrobnosti o této Lubošově "chybičce", přečtěte si tyto dva blogy:
Teorie relativity hraním si s "kostkami" na vašem stoleZvuková černá díra
Smutné je, když mi teď vyčítá povrchnost a nesystematický povrchní přístup v analýze speciální relativity, že už tenkrát dávno zůstal zcela na povrchu, a ani si nenechal vysvětlit onu úvahu a už věděl, že je špatně. Tutéž povrchnost zopakoval tentokráte, když říká, že nepostupuju systematicky, ale přitom si ani nepřečte, co vlastně píšu. Kdyby ho to zajímalo, našel by nejen v mých blozích ale i v jednom mém recenzovaném článku filosofický rozbor Einsteinovy definice současnosti, která je, zdá se, fyzikálně, logicky a filosoficky nekonzistentní, neboť v ní Einstein asi nechal kus absolutního Newtonova uvažování. Najděte kapitolu "Filosofický experiment analyzující současnost a skutečnost ve fyzice", která obsahuje tyto obecné úvahy o definici současnosti. A to je ten startovací bod, proč se o speciální teorii relativity zajímám. Nevím o tom, že by někdo podobnou analýzu dělal (i když v případě oné zvukové relativity jsem dodatečně zjistil, že stejnou úvahu provedl geniální fyzik William Unruh ještě daleko dříve).
Netvrdím, že mé úvahy musí být správné, ono ne každý je Einstein, že. Ale ani omylem to není ad hoc přístup, který si u mě prostě Luboš jen vymyslet metodou slaměného panáka (raději říkám fiktivní postavičky), tedy vymyslel si mé názory, které nemám, a pak je zkritizoval. :-) Je-li něco mojí silnou stránkou, pak je to obecné uvažování, takže mi vyčítat ad hoc přístup je opravdu nesmysl. Tedy, zdá se, že Luboš už prohrává 2:0. A z pozorování lze usoudit, že cokoliv o mě píše, tak kecá, a spíše opak je pravdou :-)
Umí fyzici uvažovat filosoficky?
Luboš je určitě skvělý fyzik a v tom se mu nemůžu a ani nechci rovnat, ale jakmile zamíří mimo fyziku, jako třeba úvahou o způsobu vzniku nových teorií, i když třeba fyzikálních, v tomto jeho blogu, stane se amatérským filosofem, jehož úvahy nejsou víc než filosoficky průměrné mezi filosofy (i když mezi fyziky kvalitní zřejmě jsou). Jeho několik set let starý filosofický přístup v osvíceneckém stylu není to, co by mohlo dnešní fyzice prospět. Spíše takováto filosofie, pro fyziky bohužel celkem typická (viz Hawkingův přístup), vývoj nových zásadních fyzikálních koncepcí brzdí, což logicky vyplývá třeba právě z představy, že ve vědě existují dogmata a dokonalé pravdy. Fyzici nikdy nebývali špičkoví filosofové, jejich obecné úvahy málokdy byly špičkově kvalitní, když pomineme takové mimořádné génie, jako byli Einstein nebo Newton, nebo některé multitalenty. Jakoby se exaktní myšlení a pružné obecné uvažování navzájem "nesnášely", nebyly kompatibilní. Jako by to bylo jako s Heisenbergovými relacemi neurčitosti: můžete si vybrat buď špičkové analytické exaktní myšlení nebo obecné a pružné, ale ne obojí. To může být jednou z příčin současné krize fyziky, která už snad 50 let nebyla schopna přijít s žádnou zásadně novou, ucelenou a experimentálně ověřenou koncepcí, jako tomu bývalo předtím.
Je sice hezké, když se fyzik snaží o obecné koncepční uvažování, ale jeho filosofickým závěrům bych moc nevěřil. Třeba tomu, že vznik nové teorie musí předcházet správná obecná (filosofická) úvaha. Stačí letmý pohled do historie fyziky, aby bylo jasné, že ne vždy správná obecná úvaha vede k cíli. Je třeba známo, že mnohé alespoň částečně chybné obecné úvahy inspirovaly správné řešení. Tím může být například Machův princip, jeho relační představa prostoru, která inspirovala Einsteina při vzniku obecné teorie relativity, nebo Demokritovy atomy. Zábavné je, že to byl Lubošem, odmítaný ad hoc impuls, který stál u zrodu disciplíny, v níž je odborník - teorie superstrun. :-)
Tento obor byl totiž odstartován v roce 1968 náhodným nálezem 200 let starého Eulerova vzorce Italem Gabriele Venezianem. Ten nalezl v jedné staré knize o historii matematiky. Kreativita, které je potřeba pro vznik nové teorii, je totiž mnohdy založena na náhodné chybě v uvažování, spojením dříve nespojeného, interakcí mezi obory, kterou se snaží fyzici nejednou úspěšně likvidovat třeba i odmítáním filosofie (Hawking). Nejeden fyzik totiž už na první pohled "ví", že je nějaká myšlenka špatně, jenže výsostně kreativní metoda, brainstorming, je právě založen na tom, že se na první pohled zdánlivě nesmyslné myšlenky nechávají žít a až následně se analyzují. Když se s lehkou fyzikální arogancí vševědoucnosti odstřelí myšlenka (třeba zvukové relativita), může to být jedna z malých cihliček k uzavírání fyziky do sebe, izolace systému a zvyšování jeho entropie, tedy k jeho dezorganizaci, jak říká 2. věta termodynamická (a známá Havlova úvaha o entropické společnosti). Jen otevřený systém se může vyvíjet, jak nás učí synergetika.
Mimochodem, nejsem ani fyzik ani filosof, vystudoval jsem interdisciplinární studia a snažím se uvažovat o problému a nehledět přitom na dělení oborů. Ono dělení je totiž lidské, umělé, příroda takto rozdělená není. A má-li se vyřešit nějaký problém, měly by být činěny pokusy z jakékoliv strany, z jakéhokoli oboru a tyto pokusy by se měly navzájem inspirovat.
Dobrým negativním příkladem, jak může povrchní filosofie blokovat fyziku, je stále převládající Kodaňská interpretace kvantové mechaniky, která je silně pozitivistická a nesplňuje ani kritérium vědeckosti - falsifikaci. Obávám se, že i když byla Kodaň jako dočasné zjednodušené řešení velmi efektivní, pravdou je zřejmě, že měl Einstein pravdu a bylo to řešení pouze povrchní, které už mělo být dávno překonáno. A fyzici si rádi vytvářejí amatérské filosofie, které mohou fungovat jako blok v hlavě.
Chtěl bych tyto úvahy uzavřít tím, že určitě nefandím rozbředlým totálně relativizačním úvahám o post-pravdě a nejistotě všeho, a že pokládám fyziku (a matematiku) za to nejlepší a nejefektivnější, co lidská mysl zplodila, za daleko přínosnější než filosofii. Obávám se ale, že má dnešní fyzika trochu tendenci k silně pozitivnímu sebehodnocení a tím i ke hroucení se do formy myšlenkové "neutronové hvězdy", která se uzavírá do sebe a brzdí tak svůj vývoj. I tak daleko méně kvalitní disciplína, jakou je filosofie, je pak schopna pomoci odblokovat některé obecné myšlenkové překážky, které stojí fyzice v cestě (jak se ukázalo třeba při vzniku teorie relativity), zejména tím, že není v této "neutronové hvězdě" uzavřena. Fyzika některé takové překážky bude sama odstraňovat jen těžce, když si občas trochu nesebekriticky myslí, že všechno dělá bezchybně, a to i mimo fyziku, tedy v oblasti, kde jí poněkud chybí znalosti a schopnosti, třeba jako v evoluci vědeckých teorií. :-)
Jan Fikáček, Ph.D.
Proč na párty Stephena Hawkinga nikdo z budoucnosti nepřišel?
V roce 2009 geniální fyzik Stephen Hawking známý svým vozíčkem udělal bohatou párty s šampaňským a kaviárem, ale pozvánky poslal až po jejím skončení. Testoval tím, bude-li možné cestovat časem. Co neúčast na této párty znamená?
Jan Fikáček, Ph.D.
Budeme mít díky Macinkovi trojkoalici nevydávání k trestnímu stíhání?
Tak nám Macinka prakticky mafiánsky vydírá presidenta. A ten zkoumá, jestli je oprávněné podat na Macinku žalobu kvůli tomuto vydírání. Jestli ano, bude šéf každé koaliční „strany“ trestně stíhán.
Jan Fikáček, Ph.D.
Proč je náš vesmír ideálně vyladěný pro existenci inteligentního života
Říká se tomu antropický princip. Fyzikální konstanty jsou tak dokonale vyladěny, že i jejich velmi malá změna by způsobila zánik života, jak ho známe. Je to ale skutečně tak?
Jan Fikáček, Ph.D.
Taky jste si v socialistické školní jídelně cpali maso do kapes?
Ten synek je snad po mně. Já to tedy dělal v osmi a on v šestnácti. Žena mu do školy udělala koláč s meruňkami (které miluju) a on....
Jan Fikáček, Ph.D.
Existuje (ve fyzice) konec světa?
Původní představa konce světa byla o placaté zemi, jejíž povrch někde končí. Dnes už víme (někteří ví :) ), že je Zem kulatá, a žádný takový konec světa není. I mnozí špičkoví fyzici si ale myslí, že existuje jiný konec světa.
| Další články autora |
Neposlušné ryby a komické úlovky: tyto rybářské fotografie vás pobaví
Rybařina není jen o perfektních úlovcích a klidu u vody. Často dochází i na vtipné momenty, když se...
V metru bude kontrola mobilů. Policie prověří jak funkčnost, tak i jejich obsah
Ještě než cestující projdou turnikety v metru, může policie kontrolovat, zda je jejich mobil...
Proč jsou ve výtazích naleštěná zrcadla? 3. důvod vás možná překvapí
Zrcadla ve výtazích nejsou jen designovým prvkem. Pomáhají cestujícím cítit se bezpečně, zkracují...
Snowboarding na ZOH 2026: Známe program! Kdy jedou Adamczyková a Ledecká?
Očekávání jsou vysoká! Eva Adamczyková a hlavně Ester Ledecká patří na ZOH 2026 k velkým favoritkám...
Kolik stojí olympijská kolekce pro ZOH 2026? Nejlevnější kousek vyjde už na stovku
Pletené svetry, zimní bundy, mikiny, rukavice, batohy, ale i přehršel doplňků. Nabídka kolekce...
Úprava prostranství u společenského domu v Hrotovicích vyjde na 29,5 mil. Kč
Úprava veřejného prostranství u nového společenského domu v Hrotovicích na Třebíčsku vyjde na 29,5...
Co má společného reality show Zrádci, německá kapela Rammstein a Eurovize? Známe odpověď
Česká formace Blitz Union vydala v polovině minulého měsíce druhé studiové album Evolution. Kapela...
Festival světla v Plzni se rozšíří do tří dnů, loni byl s kapacitou na hraně
Plzeňský festival světla a umění ve veřejném prostoru Blik Blik bude letos trvat tři dny místo...
Hasiči u Plzně bojovali s požárem domu, škoda dosáhla dvou milionů
Škodu předběžně odhadnutou na dva miliony korun způsobil dnes odpoledne požár rodinného domu...

SPECIALISTA LOGISTIKY - JUNIOR (40-50.000 Kč)
Advantage Consulting, s.r.o.
Jihomoravský kraj
nabízený plat:
40 000 - 50 000 Kč
- Počet článků 339
- Celková karma 20,93
- Průměrná čtenost 3022x
Chcete-li sledovat diskuse v "jeho" skupině, připojte se do Vědecké filosofie & Fyziky (nejen) na FB. Kontakt: jfikacek@gmail.com
Upozornění: Toto je popularizační blog pro veřejnost, neberte ho tedy jako vědeckou dizertační práci. Někdy je to jen divoká fantazie. Na druhé straně se snaží udržovat jistou vědeckou kvalitu, takže "esoterické" komentáře nejsou vítány.





















